<Title:> Identifying High-Cost RSV Hospitalizations at a Secondary Hospital in Japan
<Author(s):> Tomomi Matsuda, Yoshiko Seki, Masayuki Akashi, Kazushige Ikeda
<Corresponding author E-Mill:> kazuiked(at)keio.jp
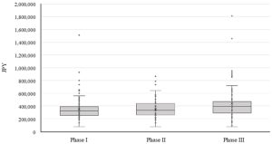
<Abstract:> Respiratory syncytial virus (RSV) is a leading cause of hospitalization in infants and young children worldwide. Although most RSV hospitalizations occur at secondary hospitals, information on RSV-related healthcare costs in these settings is limited. A retrospective analysis of RSV-related hospitalizations was conducted at Saitama City Hospital, a secondary hospital, between April 2018 and May 2024. Patients with laboratory-confirmed RSV infection were included. The study period was divided into three phases based on revisions of the national medical reimbursement schedule. Hospitalization costs were calculated, and high-cost outliers were identified using the interquartile range (IQR) method. A total of 345 patients were hospitalized for RSV, with a marked reduction in Phase II admissions corresponding to the early COVID-19 pandemic. Median hospitalization costs per episode increased in all three phases, from JPY 318,930 to JPY 393,930. Eighteen admissions were identified as cost outliers and classified into three subgroups: (1) children with airway or neurologic disorders, often older than 24 months; (2) otherwise healthy infants under 12 months; and (3) children eligible for palivizumab who contracted RSV before or after the recommended prophylaxis period. Our findings emphasize the existence of high-cost RSV cases outside the currently recognized high-risk groups, including older children with chronic airway disease and healthy young infants. Clinical burden and healthcare costs may be reduced by refining prophylaxis strategies and early intervention in Japan.
<Keywords:> hospitalization costs, prophylaxis, respiratory syncytial virus infections
<URL:> https://www.jstage.jst.go.jp/article/kjm/advpub/0/advpub_2025-0020-LE/_html

